Surat Pernyataan Penyerahan Hak Milik Tanah
Contoh surat kuasa pengurusan balik nama kendaraan bermotor apa saja syarat untuk melakukan balik nama kendaraan bermotor fungsi tujuan surat. Surat Pernyataan Penguasaan Fisik Atas tanah Negara.
5Siti Zahrok Hatfaroh 5.
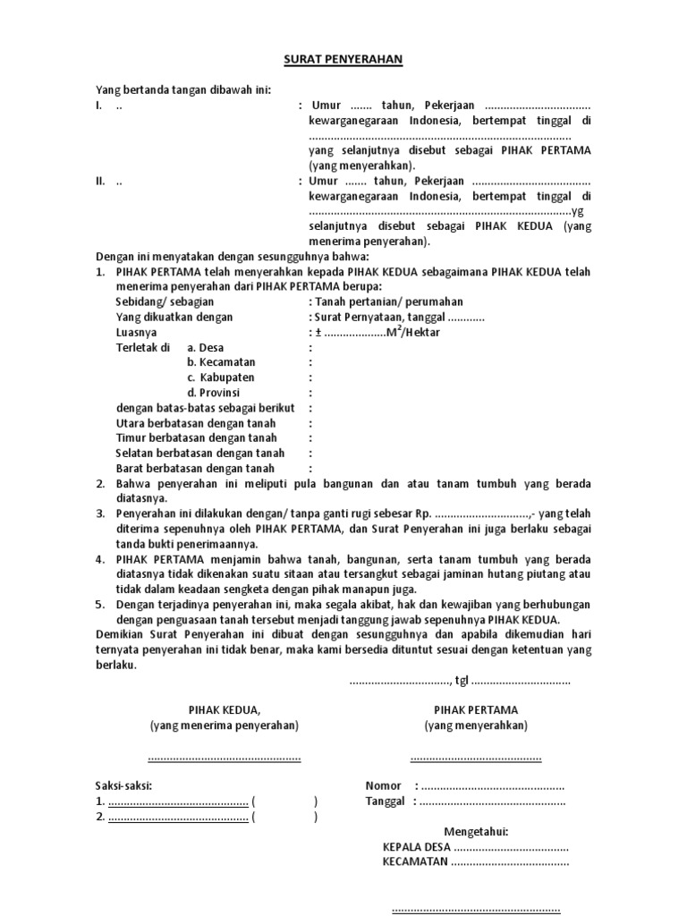
Surat pernyataan penyerahan hak milik tanah. PIHAK PERTAMA menjamin bahwa tanah bangunan serta tanam tumbuh yang berada diatasnya tidak dikenakan suatu sitaan atau tersangkut sebagai jaminan hutang piutang atau tidak dalam keadaan. Download Surat Pernyataan Pelimpahan Hak Atas Sebidang Tanah. Pembayaran uang ganti rugi untuk pengalihan segala hak dan kepentingan atas sebidang tanah tersebut pada poin a telah disepakati dan ditetapkan oleh keduabelah pihak yakni pihak pertama dan pihak kedua sebesar Rp 7000000 Tujuh Juta Rupiah Jumlah tersebut telah diterima oleh pihak pertama dan surat pernyataan ini berlaku pula sebagai tanda bukti peneriman Kwitansi.
1Mohammad Yazid Ali 1. Demikianlah surat pernyataan pelepasan hakhibah tanah ini kami perbuat dengan sebenarnya dihadapan saksi-saksi dalam keadaan sehat dan waras tanpa ada unsur paksaan dari pihak manapun. Contoh Surat Pernyataan Hak Milik Tanah picture posted ang published by Admin that saved in our collection.
Keterangan Pernyataan Tanah tidak dalam sengketa. Bendahara Yayasan Pendidikan Bina Bangsa Alamat. Pihak pertama menyatakan akan memberikan sertifikat hak milik rumah dan tanah yang.
Surat pernyataan ini bisa dimodifikasi sesuai keadaan dan kebutuhan Anda. SURAT PERNYATAAN Yang bertandatangandibawahini. If you are author or own the copyright of this book please report to us by using this DMCA report form.
SURAT PERNYATAAN PENYERAHAN RUMAH. Zenny Zainal Alamsyah Tempattanggallahir. 2 Contoh Surat Pernyataan Penyerahan Hak Atau Benda Berikut ini adalah contoh surat pernyataan yang berkaitan dengan pemindahan hak atau fasilitas tapi bukan sebagai pernyataan jual beli.
Contoh surat pernyataan penyerahan sertifikat tanah sertifikat adalah surat tanda bukti untuk hak atas tanah hak pengelolaan tanah wakaf hak milik atas satuan rumah susun dan hak tanggungan yang masing masing sudah dibukukan dalam buku tanah yang bersangkutan. Find out the most recent pictures of Contoh Surat Pernyataan Hak Milik Tanah here so you can find the picture here simply. Contoh Surat Kuasa Pengalihan Hak Milik - Contoh surat pernyataan penyerahan sertifikat tanah sertifikat adalah surat tanda bukti untuk hak atas tanah hak pengelolaan tanah wakaf hak milik atas satuan rumah susun dan hak tanggungan yang masing masing sudah dibukukan dalam buku tanah yang bersangkutan.
3202240411600002 Menyatakan dengan sebenarnya bahwa. Contoh Surat Pernyataan Hak Milik Tanah involve some pictures that related each other. Tanah milik seluas 574 M2 atas.
PIHAK PERTAMA menjamin PIHAK KEDUA tentang adanya hak-hak yang dimaksud dalam Pasal 3 tersebut di atas dan bilamana temyata bahwa hak-hak tersebut tidak ada maka pemindahan dan penyerahan hak ini dengan sendirinya menjadi batal menurut hukum. This document was uploaded by user and they confirmed that they have the permission to share it. Karang sari 17 oktober 2010 Yang menerima hak Yang melepaskan hak.
Untuk permohonan pendaftaran Hak Milik tersebut kami bersedia memenuhi kewajiban yang ditetapkan. Surat Pernyataan dari pemohon bahwa dengan perolehan Hak Milik ini yang bersangkutan akan mempunyai Hak Milik atas tanah untuk rumah tinggal tidak lebih dari 5 lima bidang yang seluruhnya meliputi luas tidak lebih _____ m2 _____. CONTOH SURAT PERNYATAAN PENYERAHAN RUMAH.
Contoh Surat Pernyataan Hak Milik Tanah Tidak di bebani hak tanggungan atau juga tidak di gadaikan serta tidak di. Surat pelepasan hak milik kendaraan dicetak dalam kop surat. Penyerahan ini dilakukan dengan tanpa ganti rugi sebesar Rp.
Dan dalam hal demikian kedua belah pihak sepanjang perlu melepaskan ketentuan-ketentuan yang dimaksud dalam. Contoh Surat Pemindahan Hak Milik Tanah - Contoh surat pernyataan penyerahan sertifikat tanah sertifikat adalah surat tanda bukti untuk hak atas tanah hak pengelolaan tanah wakaf hak milik atas satuan rumah susun dan hak tanggungan yang masing masing sudah dibukukan dalam buku tanah yang bersangkutan. Contoh surat pernyataan hak milik tanah Hak Milik Sertifikat Tanah info Surat Pernyataan dari pemohon bahwa dengan perolehan Hak Milik ini yang bersangkutan akan mempunyai Hak Milik atas tanah Contoh Surat Permohonan Pendaftaran Hak contoh surat pernyataan hak milik tanah ajariselalu blogspot 2013 05 surat pernyataan kepemilikan html16 05 2013 Berikut contoh surat pengalihan kepemilikan hak atas tanah SURAT PERNYATAAN PENGALIHAN KEPEMILIKAN HAK ATAS SEBIDANG TANAH.
Contoh Surat Pernyataan Hak Milik Tanah. Kartu Tanda Penduduk KTP dan KK. - yang telah diterima sepenuhnya oleh PIHAK PERTAMA dan Surat Penyerahan ini juga berlaku sebagai tanda bukti penerimaannya.
Gugurlah hak pihak pertama atas tanah tersebut. Sejak surat penyerahan ini diperbuat maka tanah tersebut diatas sepenuhnya menjadi hak dan tanggung jawab pihak kedua. Sukabumi 04 Nopember 1960 Pekerjaan.
Surat Keterangan Penguasaan Tanah. Format serta tata letak penulisan bahasa yang digunakan dan hal hal. Surat pernyataan penyerahan sertifikat tanah Contoh Surat Pernyataan Penyerahan Sertifikat Tanah Sertifikat adalah surat tanda bukti untuk hak atas tanah hak pengelolaan tanah wakaf hak milik atas satuan rumah susun dan hak tanggungan yang masing-masing sudah dibukukan dalam buku tanah yang bersangkutan.
Jagamukti RT 003001 KecamatanSuradeKabupatenSukabumi KTP No. Keterangan Kewarisan Bila diperlukan. Contoh surat pernyataan penyerahan sertifikat tanah sertifikat adalah surat tanda bukti untuk hak atas tanah hak pengelolaan tanah wakaf hak milik atas satuan rumah susun dan hak tanggungan yang masing masing sudah dibukukan dalam buku tanah yang bersangkutan.

Contoh Surat Penyerahan Hak Milik Tanah Contoh Surat

Surat Keterangan Jual Beli Jarommah Baroh

Surat Pernyataan Pengalihan Penguasaan Atas Tanah Disertai Dengan Kompensasi Format Administrasi Desa
Surat Pernyataan Hak Atas Sebidang Tanah Adat

14 Contoh Surat Serah Hak Milik Tanah Kumpulan Contoh Surat
Suratpernyataan Pelepasan Hak Tanah
![]()
Doc Surat Pernyataan Perjanjian Pengalihan Tanah Garapan Imha Febriani Academia Edu
Surat Pernyataan Pelimpahan Hak Atas Sebidang Tanah
Surat Pernyataan Perjanjian Pengalihan Tanah Garapan
![]()
Doc Surat Pernyataan Pelepasan Hak Tanah Hibah Trisnadi Tian Academia Edu
Contoh Surat Penyerahan Tanah Wakaf Contoh Surat

14 Contoh Surat Serah Hak Milik Tanah Kumpulan Contoh Surat
Surat Pernyataan Tanah Sawah Pengalihan Hak
Download Surat Pernyataan Pelepasan Hak Atas Tanah
17 Contoh Surat Akuan Hak Milik Kumpulan Contoh Surat

Contoh Surat Penyerahan Hak Milik Tanah Contoh Surat
Surat Pernyataan Kepemilikan Tanah


Post a Comment for "Surat Pernyataan Penyerahan Hak Milik Tanah"